Космический шторм раскрыл тайну гибели китайского государства (ФОТО)
Мощные вспышки на Солнце, оставляющие следы в годичных кольцах деревьев и называемые «события Мияке», позволяют с точностью до года определить возраст археологической находки или проверить историческую гипотезу.
На днях участники международного проекта COSMIC доказали планетарный масштаб событий Мияке.
Отчего погибло государство Бохай
Согласно историческим хроникам, государство Бохай в Манчжурии пало в 926 году нашей эры. По одной из гипотез, его погубило извержение вулкана Пэктусан — одно из крупнейших в истории человечества. Но точная дата стихийного бедствия была неизвестна. Все, что могли сказать ученые: это случилось около тысячного года нашей эры.
Радиоуглеродный анализ погребенной под пеплом Пэктусана лиственницы показал, что дерево погибло между 920 и 950 годами.
Суть этого метода — в определении концентрации радиоактивного изотопа 14C, который накапливают все живые организмы в процессе фотосинтеза или питания.
После смерти процесс прекращается, а изотопы распадаются. Зная скорость распада (она постоянна) и период полураспада (около 5730 лет), устанавливают время гибели организма.
Погребенная лиственница прожила 264 года (об этом свидетельствовали годичные кольца). Значит, в 774 году нашей эры она уже росла. Ученые ухватились за этот факт.
Дело в том, что в 774 году произошла мощнейшая вспышка солнечной активности, породившая протонный шторм. Поток высокоэнергичных частиц пробил магнитосферу, достиг атмосферы Земли и запустил каскад реакций, в результате которых концентрация 14C зашкалила.
© Иллюстрация РИА Новости. Алина Полянина, Depositphotos, CC0
Событие Мияке 774 года нашей эры
Эту аномалию открыла в 2012 году Фуса Мияке (Fusa Miyake), в то время аспирантка Нагойского университета (Япония). «Событие Мияке», как теперь называют данный феномен, обнаружили в образцах деревьев не только Японии, но и Европы, Новой Зеландии, Америки.
Настала очередь Китая. Ученые снова взяли образец погибшей под пеплом лиственницы, сделали радиоуглеродный анализ нескольких колец и установили в одном из них событие Мияке.
Далее путем подсчета колец несложно было определить дату гибели дерева, она же дата извержения — конец 946 года. К тому моменту государство Бохай уже было захвачено кочевниками, а значит, вулкан Пэктусан к его краху не имеет отношения.
Фуса Мияке из Нагойского университета, открывшая в древесных кольцах аномалии 14C
События Мияке и солнечный шторм
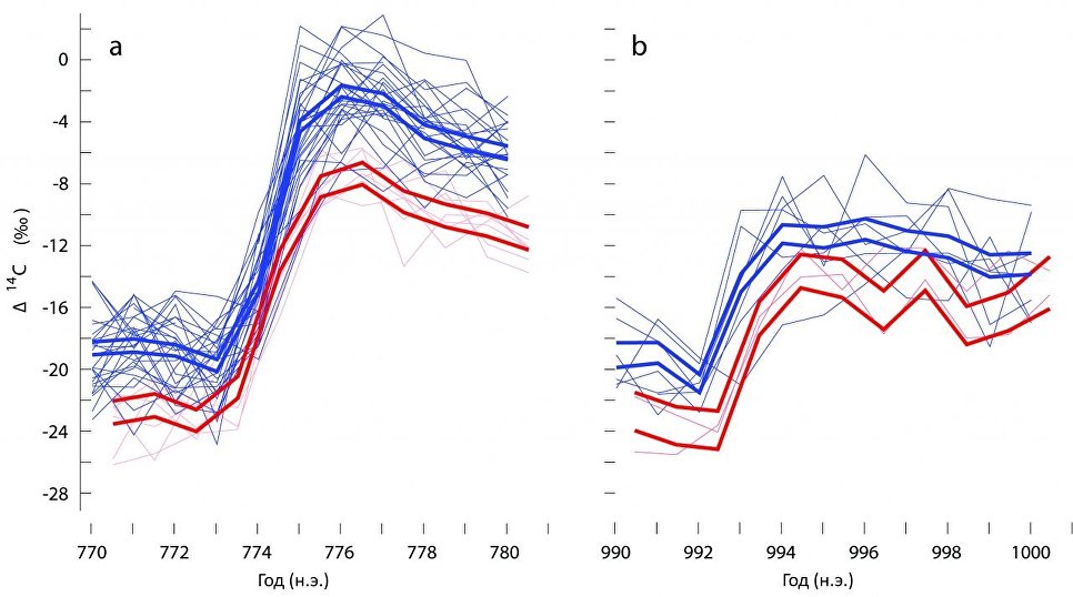
С помощью радиоуглеродного и дендрохронологического методов установлены еще несколько событий Мияке — в 5480, 3372 и 660 годах до нашей эры, 993 и 1306 годах нашей эры. Дату определяют по резкому скачку 14C в каком-либо годичном кольце. Пик наблюдается в нескольких следующих годичных кольцах.
Дату начала события можно установить с точностью до месяца. Например, первое открытое событие Мияке началось в июле 774 года и продолжалось до 780 года.
Аномалии радиоуглерода в древесине объясняли гамма-всплесками, взрывами сверхновых, кометой, галактическим космическим излучением, но астрономы считают, что все дело в солнечных космических лучах экстремальной силы. Для обитателей Земли они не опасны. В небе проявляются в ночных зарницах и ярко-красной авроре.
Следы событий Мияке в виде аномалии радиоактивных изотопов бериллия (10Be) и хлора (36Cl), имеющие космическое происхождение, нашли в ледниках Гренландии и Антарктиды.
Аномалии 14C в «событиях Мияке» 775 и 995 годов
Дендрохронология требует защиты
Открытие Мияке предоставило археологам, историкам, климатологам и астрономам очень точный инструмент для датировки событий и проверки различных гипотез о состоянии климатической системы в прошлом. Поэтому всплески 14C стали специально искать у деревьев в разных регионах мира.
Интересно, что в 2012–2013 годах появились работы, выражавшие сомнение в правильности определения возраста по древесным кольцам. Для дендрохронологов это послужило поводом доказать свою точку зрения, используя события Мияке.
«Необходимо было получить данные для как можно большего числа хронологий из разных частей света и попытаться понять и объяснить закономерности этих всплесков.
У Ульфа Бюнтгена из Швейцарского федерального института исследования леса, снега и ландшафтов (сейчас он работает в отделе географии Кембриджского университета. — Прим. ред.) родилась идея объединить усилия дендрохронологического сообщества», — рассказывает РИА Новости Александр Кирдянов, сотрудник Института леса Сибирского отделения РАН, Сибирского федерального университета и Кембриджского университета.
Так возник волонтерский международный проект COSMIC.
«Ульф обратился к ученым, у которых есть необходимый древесный материал, с просьбой его отобрать, еще раз провести датировку древесных колец и переслать в Швейцарию. Я, как и многие мои коллеги, давно сотрудничаю с Ульфом Бюнтгеном.
Некоторые из наших и наработанных вместе с ним материалов получили гораздо более широкую известность в мире именно благодаря этому сотрудничеству. Поэтому откликнулись многие», — продолжает Кирдянов.
Для исследования требовались образцы из мест, где выстроены древесно-кольцевые хронологии длительностью более тысячи лет.
«Их не так много. В России самая длительная — Ямальская, охватывающая более семи тысяч лет, построена в нашей лаборатории. Красноярским дендрохронологам принадлежат двух- и трехтысячелетние хронологии для Таймыра и севера Якутии (Индигирки).
В последние годы строят шкалу для Алтая продолжительностью более трех с половиной тысяч лет. Авторы этих хронологий известны в дендрохронологическом сообществе.
Их и пригласили в намечающуюся коллаборацию», — поясняет РИА Новости участник COSMIC Рашит Хантемиров, ведущий научный сотрудник лаборатории дендрохронологии Института экологии растений и животных Уральского отделения РАН (Екатеринбург).
Всплески обнаружили на обоих полушариях
Для исследования отобрали 44 серии образцов 27 видов деревьев с пяти континентов, возраст которых был точно определен по годичным кольцам и охватывал 770–780 и 990–1000 годы нашей эры.
«Правильную дендрохронологическую датировку, а это залог качественной работы, каждый участник выполнил сам. Получение первичного древесного материала занимает годы, если не десятилетия, и подразумевает огромные финансовые вложения, поскольку требует экспедиций в удаленные регионы», — рассказывает Александр Кирдянов.
«Чтобы была возможность предоставить точно датированные древесные кольца для любого года из последних семи тысяч лет, пришлось работать лет двадцать-тридцать», — добавляет Хантемиров.
Для определения концентрации 14С использовали новейший метод — ускорительную масс-спектрометрию (AMS). Установка отделяет редкие изотопы от фона, в данном случае — космические изотопы 14С от стабильных 12С, имеющих земное происхождение.
По словам Кирдянова, в рамках COSMIC провели 484 измерения на компактной ускорительной установке в радиоуглеродной лаборатории Высшей технической школы Цюриха.
Результаты исследования участники COSMIC изложили в недавней статье в Nature Communication. Их вывод — события Мияке 774 и 993 годов зафиксированы с большой временной точностью в обоих полушариях. Значит, породившее их явление воздействует на всю планету и оставляет следы в деревьях, выросших в совершенно разных климатических условиях. Кроме того, ученые обнаружили плавное снижение аномалии с севера к экватору, но это еще ждет своего объяснения. И главное — подтвердились данные дендрохронологии.
«Мы теперь уверены в правильности тех дендрохронологий, которые анализировались в работе на отрезке времени с 774 года нашей эры до текущего момента», — говорит Александр Кирдянов.
Читайте также: Взрыв в Донецке: МВД ДНР задержало подозреваемого
Татьяна Пичугина







